Complaints Procedure
COMPLAINTS PROCEDURE
INTRODUCTION
The purpose of the policy is to ensure that all patients (or their representatives) who have the cause to complain about their care or treatment can have freely available access to the process and can expect a truthful, full, and complete response and an apology where appropriate. Complainants have the right not to be discriminated against as the result of making a complaint and to have the outcome fully explained to them. The process adopted in the Practice is fully compliant with the relevant NHS Regulations (2009) and guidance available from defence organisations, doctors` representative bodies and the Care Quality Commission. Everyone in the Practice is expected to be aware of the process and to remember that everything they do and say may present a poor impression of the Practice and may prompt a complaint or even legal action.
The general principle of the Practice in respect of all complaints will be to regard it first and foremost as a learning process, however in appropriate cases and after full and proper investigation the issue may form the basis of a separate disciplinary action. In the case of any complaint with implications for professional negligence or legal action, the appropriate defence organisation must be informed immediately.
Procedure
Availability of information
The Practice displays notices advising on the complaints process conspicuously displayed in all reception/waiting areas and leaflets containing sufficient details for anyone to make a complaint are available without the need to ask. The Practice website and any other public material (Practice leaflet etc.) will similarly provide this information and signpost the complainant to the help available through the NHS Complaints Advisory Service.
Who can a formal complaint be made to?
Only to the Practice or the NHS Commissioning Board. Since 01 July 2023, NHS England no longer manages Primary Care complaints.
In the event of anyone not wishing to complain to the Practice they should be directed to make their complaint to NHS Commissioning Board by telephone: 020 8221 5750; Email: nelondonicb.complaints@nhs.net or in writing: Complaints Department, NHS North East London, 4th Floor – Unex Tower, 5 Station Street, London E15 1DA
In those cases where the complaint is made to the NHS Commissioning Board, the Practice will comply with all appropriate requests for information and co-operate fully in assisting them to investigate and respond to the complaint.
Who can make a complaint?
A complaint can be made by or, with consent, on behalf of a patient (i.e. as a representative); a former patient, who is receiving or has received treatment at the Practice; or someone who may be affected by any decision, act, or omission of the Practice.
A Representative may also be:
· either parent or, in the absence of both parents, the guardian or other adult who has care of the child; a person duly authorised by a local authority to whose care the child has been committed under the provisions of the Children Act 1989; or a person duly authorised by a voluntary organisation by which the child is being accommodated
· someone acting on behalf of a patient/ former patient who lacks capacity under the Mental Capacity Act 2005 (i.e. who has Power of Attorney etc.) or physical capacity to make a complaint and they are acting in the interests of their welfare
· someone acting for the relatives of a deceased patient/former patient
In all cases where a representative makes a complaint in the absence of patient consent, the Practice will consider whether they are acting in the best interests of the patient and, in the case of a child, whether there are reasonable grounds for the child not making the complaint on their own behalf. In the event a complaint from a representative is not accepted, the grounds upon which this decision was based must be advised to them in writing.
Who is responsible at the Practice for dealing with complaints?
The Practices "Responsible Person" is Dr B Saheecha and/or Dr N Saheecha, Senior Partner’s. They are accountable for ensuring that complaints are handled in accordance with the regulations, that duty of candour is adhered to, that lessons learned shared in line with just culture and actions for improvement are fully implemented. They must also ensure that no Complainant is discriminated against for making a complaint.
The Practice "Complaints Manager" is Janet Butcher, Practice Manager and in her absence Tracy Lever, Assistant Practice Manager. They have been delegated responsibility for managing complaints and ensuring adequate investigations are carried out.
Time limits for making complaints:
The period for making a complaint is normally 12 months from the date on which the event which is the subject of the complaint occurred.
The Practice has discretion to extend these limits if there is good reason to do so and it is still possible to carry out a proper investigation. The collection or recollection of evidence, clinical guidelines or other resources relating to the time when the complaint event arose may also be difficult to establish or obtain. These factors may be considered as suitable reasons for declining a time limit extension, however that decision should be able to stand up to scrutiny.
Action upon receipt of a complaint
The Complaints Manager provides all staff involved or named in a complaint, with the opportunity to provide a written detailed explanation of their version of events. This record may assist with handling the complaint.
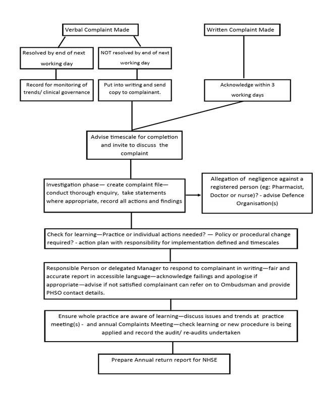
A. Verbal Complaints: It is always better to try and deal with the complaint at the earliest opportunity and often it can be concluded at that point. A simple explanation and apology by staff at the time may be all that is required.
However, the Practice will request the patient to submit the complaint in writing wherever possible, this provides a clear explanation of the whole complaint and generally provides more detail than a verbal complaint.
A verbal complaint need not be responded to in writing for the purposes of the Regulations if it is dealt with to the satisfaction of the complainant by the end of the next working day, neither does it need to be included in the annual Complaints Return. However, the Practice always gives the patient or their representative the option to record the complaint as an official complaint. Verbal complaints are formally recorded and are discussed at the next practice meeting, with minutes of those discussions kept.
If resolution is not possible, or the patient/patient representative wishes the complaint to be recorded as a formal complaint, the Practice Manager will request the patient makes the complaint in writing.
B. Written Complaints: Complaints can be sent in to the Practice Manager or emailed to the complaints email nelondonicb.saheechassurgerycomplaints@nhs.net. The email address can be given to patients or their representatives over the telephone. Personal emails should not be given out for a complaint. On receipt, an acknowledgement will be sent within three working days. The response should give some indication of the anticipated timescale for investigations to be concluded and an indication of when the outcome can be expected.
It may be that other bodies (e.g. secondary care/ Community Services) will need to be contacted to provide evidence. If that is the case, then a patient consent form will need to be obtained at the start of the process and a pro-forma consent form included with the initial acknowledgement for return.
If it is not possible to conclude any investigations within the advised timescale, then the complainant must be updated with progress and revised time scales on a regular basis. In most cases these should be completed within six months unless all parties agree to an extension.
The Investigation
The Practice will ensure that the complaint is investigated in a manner that is appropriate to resolve it speedily and effectively and proportionate to the degree of seriousness that is involved. The Practice aims to resolve the complaint within 10-20 working days, wherever possible. If there is a reason why this timeframe cannot be met, the Practice will inform the patient.
The investigations will be recorded in a complaints file created specifically for each incident and where appropriate should include evidence collected as individual explanations or accounts taken in writing. The complaints file is saved on a secure computer under Practice Manager > Complaints. A hard copy is kept in a locked cupboard in the Practice Managers office.
Final Response
This will be provided to the complainant in writing (or email if the complaint was initiated by email) and the letter will be signed by the Responsible Person or Complaints Manager under delegated authority. The letter will be on headed notepaper and include:
- An apology if appropriate (The Compensation Act 2006, Section 2 expressly allows an apology to be made without any admission of negligence or breach of a statutory duty).
- A clear statement of the issues, details of the investigations and the findings, and clear evidence-based reasons for decisions if appropriate.
- Where errors have occurred, explain these fully and state what has been or will be done to put this right or prevent repetition. Clinical matters must be explained in accessible language. Abbreviations should not be used.
- Lessons learned or changes made, where errors have occurred, explain these fully and state what has been or will be done to put these right or prevent repetition. Clinical matters must be explained in accessible language.
- Next steps if the claimant is not satisfied e.g. to contact:
NHS Commissioning Board
Telephone: 020 8221 5750
Email: nelondonicb.complaints@nhs.net
In writing:
Complaints Department
NHS North East London
4th Floor – Unex Tower
5 Station Street
London E15 1DA
- Patients can also get free support, at any time, from their local independent complaint’s advocacy service. They can assist with writing letters and presenting their case, if necessary. The details are as follows:
The Havering Integrated Advocacy Service
Telephone: 020 7510 1081 / 01708 5606600
Email: advocacy@haveringmind.org.uk
The final letter should not include:
· Any discussion or offer of compensation without the express involvement and agreement of the relevant defence organisation(s).
· Detailed or complex discussions of medical issues with the patient’s representative unless the patient has given informed consent for this to be done where appropriate.
Annual Review of Complaints
The Complaints Manager will produce an annual complaints report which supports its statutory requirement to declare the complaints, as detailed in the 2009 complaints regulation. This report will detail the number of complaints and a summary of the issues. This is an anonymised report and does not contain any patient identifiable information.
The report will include:
· Statistics on the number of complaints received.
· The number considered to have been upheld.
· Known referrals to the Ombudsman.
· A summary of the issues giving rise to the complaints.
· Learning points that came out of the complaints and the changes to procedure, policies or care which have resulted.
Care must be taken to ensure that the report does not inadvertently disclose any confidential data or lead to the identity of any person becoming known.
It is a statutory and contractual requirement for The Saheecha’s Practices to declare brief details of complaints associated with their care by submitting a KO41b return, whereby complaints data is submitted through the Strategic Data Collection Service (SDCS).
This will support the practice with its collection of information about written complaints and demonstrate that it is monitoring them. The complaints are collected annually between April and March, and the requirement to submit is between May and July.
What the KO41b assesses:
· Total number of complaints received during the reporting year.
· Service area involved (e.g. clinical treatment, communication, appointments).
· Subject matter of the complaint (such as attitude of staff, delays, or prescribing issues).
· Outcome of the complaint (whether it was upheld, partially upheld, or not upheld).
· Actions taken (including service changes, staff training, or apologies issued).
· Demographics (age and gender of the complainant, where available).
Confidentiality
All complaints must be treated in the strictest confidence and the Practice will ensure that the patient etc. is made aware of any confidential information to be disclosed to a third party (e.g. NHSE).
The Practice keeps a record of all complaints and copies of all correspondence relating to complaints, but such records are kept separate from patients' medical records and no reference which might disclose the fact a complaint has been made will be included on the computerised clinical record system.
Unreasonable or Vexatious Complaints
Where a complainant becomes unreasonable or excessively rude or aggressive in their promotion of the complaint, some or all the following formal provisions will apply and will be communicated to the patient by the Responsible Person in writing:
- The complaint will be managed by one named individual at senior level who will be the only contact for the patient.
- Contact will be limited to one method only (e.g. in writing).
- Place a time limit on each contact.
- The number of contacts in a time period will be restricted.
- A witness will be present for all contacts.
- Repeated complaints about the same issue will be refused unless additional material is being brought forward.
- Only acknowledge correspondence regarding a closed matter, not respond to it.
- Set behaviour standards.
- Return irrelevant documentation.
- Detailed records will be kept of each encounter.
Complaints involving Locums:
It is important that all complaints made to the Practice regarding or involving a Locum (Doctor, Nurse, or any other temporary staff) are dealt with by the Practice and not passed off to a Locum Agency or the individual Locum to investigate and respond. The responsibility for handling and investigating all complaints rests with the Practice and will be handled by the Complaints Manager.
Locum staff should however be involved at an early stage and be advised of the complaint in order that they can provide any explanations, preferably in writing. It would not be usually appropriate for any opinions to be expressed by the Practice on Locum staff. Providing their factual account along with any factual account from the Practice is the best way to proceed.
The Practice will ensure that on engaging any Locum, the Locum Agreement will include an assurance that they will participate in any complaint investigation where they are involved or can provide any material evidence. The Practice will ensure that there is no discrepancy in the way it investigates or handles complaints between any Locum staff and either Practice Partners, salaried staff, students or trainees or any other employees.
"Informal complaints"
The collection of data about informal complaints - often referred to as "grumbles" - is a good tool for identifying trends for low-level dissatisfaction with services or the way they are offered to patients.
Staff are encouraged to raise these issues at practice meetings and/or speak to the Practice Manager in the interim.
Informal complaints can identify trends and possible amendment of procedures or targeted training needs.
Complaints Handling Flowchart
Page created: 23 March 2026